昌暉儀表本文對差壓式流量計、電磁流量計、渦街流量計、超聲波流量計、文丘里管、阿牛巴流量計、皮托管這其中常見流量計工作原理及在流量測量中的應用做簡單介紹,增長大家流量計方面知識。
1、差壓式流量計
差壓式流量計是應用非常廣泛的一類流量測量儀表,約占流量測量儀表總數的70%。它由節流裝置和差壓變送器兩部分組成,充滿圓管的流體流經節流件(如孔板)時,流束在孔板處形成局部收縮,由于流速增加、靜壓力降低而在孔板前后產生壓差,這一壓差與流量的平方成正比。
孔板流量計又稱為差壓式流量計,由一次檢測件(節流件)和二次裝置(差壓變送器和流量積算儀)組成,應用于氣體、蒸汽和液體的流量測量。具有結構簡單、維修方便、性能穩定、使用可靠等特點。孔板節流裝置是標準節流件,可不需標定直接依照下列國家標準生產。
①國家標準GB 2624-2006流量測量節流裝置的設計安裝和使用。
②國際標準IS0 5167國際標準組織規定的各種節流裝置。
③化工部標準GJ 516-87G-HK06。
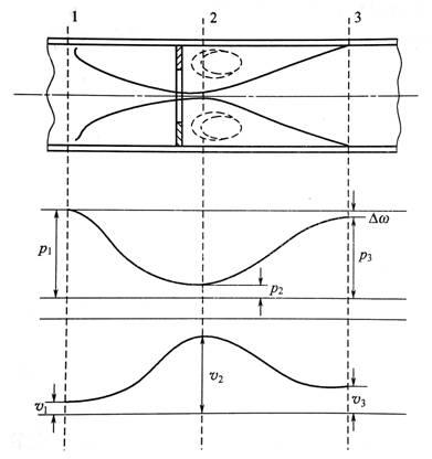
充滿管道的流體流經管道內的節流裝置,在節流件附近造成局部收縮,流速增加,在其上、下游兩側產生靜壓力差(見圖1)。

圖1 流體流經節流器件時壓力和流速的變化情況
在已知有關參數的條件下,根據流動連續性原理和伯努利方程可以推導出壓差與流量之間的關系而求得流量。
式中,P為流量節流裝置前后的壓差,q為瞬時流量。由于流體的性質所決定,節流裝置測得的壓差與流量的關系是平方及平方根的關系。目前,應用較廣的幾種典型的流量測量設備有電磁流量計、渦街流量計、超聲波流量計等,以下分別介紹。
2、電磁流量計
電磁流量計(E1etromagnetic Flowmeters,簡稱EMF)是20世紀50-60年代隨著電子技術的發展而迅速發展起來的新型流量測量儀表。電磁流量計是根據法拉第電磁感應定律制成的,電磁流量計是用來測量導電液體體積流量的儀表。由于其獨特的優點,電磁流量計目前已廣泛地被應用于工業過程中各種導電液體的流量測量,如各種酸、堿、鹽等腐蝕性介質;電磁流量計各種漿液流量測量,形成了獨特的應用領域。
在結構上,電磁流量計由電磁流量傳感器和轉換器兩部分組成。傳感器安裝在工業過程管道上,它的作用是將流進管道內的液體體積流量值線性地變換成感應電勢信號,并通過傳輸線將此信號送到轉換器。轉換器安裝在離傳感器不太遠的地方,它將傳感器送來的流量信號進行放大,并轉換成與流量信號成正比的標準電信號輸出,以進行顯示、累積和調節控制。

圖2 電磁流量計測量基本原理
電磁流量計測量原理是基于法拉第電磁感應定律。流量計的測量管是內襯絕緣材料的非導磁合金短管。兩只電極沿管徑方向穿通管壁固定在測量管上。其電極頭與襯里內表面基本齊平。勵磁線圈由雙方波脈沖勵磁時,將在與測量管軸線垂直的方向上產生一磁通量密度為B的工作磁場。此時,如果具有一定電導率的流體流經測量管,將切割磁力線感應出電動勢E。電動勢E正比于磁通量密度B、測量管內徑d與平均流速U的乘積。電動勢E(流量信號)由電極檢出并通過電纜送至轉換器。轉換器將流量信號放大處理后,可顯示流體流量,并能輸出脈沖,模擬電流等信號,用于流量的控制和調節。
E=KBdu ,式中E-電極間的信號電壓,V;K為系數;B為磁通密度,T;d為測量管內徑,m;u為平均流速,m/s;式中,K、d為常數,由于勵磁電流是恒流的,故B也是常數,則由E=KBdu可知,體積流量Q與信號電壓E成正比,即流速感應的信號電壓E與體積流量Q成線性關系。因此,只要測量出E,就可確定流量Q,這是電磁流量計的基本工作原理。
由E=KBdu可知,被測流量體介質的溫度、密度、壓力、電導率、液固兩相流體介質的液固成分比等參數不會影響測量結果。至于流動狀態只要符合軸對稱流動(如層流或者紊流)就不會影響測量結果。因此,電磁流量計是一種真正的體積流量計。對于制造商和用戶來說,只要用普通的水實際標定后就可以測量其他任何導電流體介質的體積流量,而不需要任何修正。這是電磁流量計的一個突出優點,是其他任何流量計所沒有的。測量管內無活動及阻流部件,因此幾乎沒有壓力損失,并且需要說明的是,必須使測量條件滿足下列假定:
①場是均勻分布的恒定磁場;
②被測流體的流速軸對稱分布;
③被測液體是非磁性的;
④被測液體的電導率均勻且各向同性。

圖3 模塊化電磁流量計
在我國電磁流量計生產廠家很多,經過幾十年的技術模仿和創新,國產電流流量計品質得到大幅度提升,有廠家已經推出了品質高和更人性化功能的“模塊化電磁流量計”,在此對這類產品僅做簡單介紹。
YR-DC11智能電磁流量計是國內首款模塊化設計、帶視窗、在線更換核心部件、長度可調和故障自診斷的全智能型流量計,六大核心專利技術,與其他廠家生產的傳統模擬或智能電磁流量計有非常大的區別,尤其在測量精度可靠性、穩定性、可以修改流量計量程、使用功能和使用壽命等方面。電磁流量計設計了帶背光寬溫的中文液晶顯示器,功能齊全實用、顯示直觀、操作使用方便。
模塊化電磁流量計的特點:
1、一體、分體兩用式,隨意選擇;
2、流體狀態可視,不再猜測(流量計內的介質是否滿管,通過視窗可見,一目了然)
3、長度自由調節,極大適應現場(可以直接替代國內外任何廠家產品,不用更改現場管道長度);
4、在線帶壓可拆,便于維護(使用者可以在線更換流量計電極等部件,故障產品不用返廠,不耽誤生產);
5、模塊化設計,售后零等待(輸入更換部件的參數,流量計CPU自動調試到出廠狀態);
6、進一步智能,提供可靠保障(流量計帶故障自診斷,方便用戶直觀判斷故障所在部位和故障原因);

圖4 帶視窗電磁流量計
電磁流量計選型參閱本站 http://rjxysw.com/product/176.html 產品頁面。
3、渦街流量計
渦街流量計是在流體中安放一根(或多根)非流線形阻流體(bluffbody),流體在阻流體兩側交替地分離釋放出兩串規則的旋渦,在一定的流量范圍內旋渦分離頻率正比于管道內的平均流速,通過采用各種形式的檢測元件測出旋渦頻率,就可以推算出流體的流量。
應該看到,渦街流量計尚屬發展中的流量計,無論其理論基礎或實踐經驗尚較差。至今最基本的流量方程經常引用卡曼渦街理論,而此理論及其一些定量關系是卡曼在氣體風洞(均勻流場)中實驗得出的,它與封閉管道中具有三維不均勻流場旋渦分離的規律是不一樣的。至于實踐經驗更是需要通過長期應用才能積累。一般流量計出廠校驗是在實驗室參考條件下進行的,在現場偏離這些條件不可避免。工作條件的偏離到底會帶來多大的附加誤差至今在標準及生產廠資料中尚不明確。這些都說明流量計的迅速發展需要基礎研究工作必須跟上,否則在實用中經常會出現一些預料不到的問題。
渦街流量計原理:在流體中設置旋渦發生體(阻流體),從旋渦發生體兩側交替地產生有規則的旋渦,這種旋渦稱為卡曼渦街(見圖5),旋渦列在旋渦發生體下游非對稱地排列。

圖5 渦街流量計原理

管道內體積流量qv為:

式中K為流量計的儀表系數,單位為脈沖數/m3。K除了與旋渦發生體、管道的幾何尺寸有關外,還與斯特勞哈爾數有關。斯特勞哈爾數為無量綱參數,它與旋渦發生體形狀及雷諾數有關,圖6所示為圓柱狀旋渦發生體的斯特勞哈爾數與管道雷諾數的關系圖。

圖6 斯特勞爾數與雷諾數關系曲線
由圖6可見,在Re=2×104~7×105的范圍內,Sr可視為常數,這是儀表正常工作范圍。當測量氣體流量時,渦街流量計的流量計算式為:

式中qvm為標準狀態下(0℃或20℃,101.325kPa)體積流量;Pn為標準狀態下絕對壓力;P工況下的絕對壓力;Tn標準狀態下熱力學溫度;T為工況下氣體壓縮系數;Z為工況下氣體壓縮系數。
渦街流量計輸出的脈沖頻率信號不受流體物性和組分變化的影響,及儀表系數在一定雷諾系數范圍內僅與旋渦發生體及管道的形狀尺寸等有關。但是在物料平衡及能源計量中需檢測質量流量,這時流量計應同時檢測體積流量和流體密度,流體物性和組分就會對流量計量產生直接影響。

圖7 智能渦街流量計
渦街流量計由傳感器和轉換器兩部分組成,如圖7所示。傳感器包括旋渦發生體、檢測元件、儀表表體等,轉換器包括前置放大器、濾波整形電路、DAC、輸出接口電路、端子、支架和防護罩等。近年來智能式流量計還把微處理器、顯示通信及其他功能模塊裝在轉換器內。
渦街流量計選型參閱 http://rjxysw.com/product/175.html
4、超聲波流量計
超聲波在流動的流體中傳播時就載上流體流速的信息、因此通過接收到的超聲波就可以檢測出流體的流速,從而換算成流量。根據檢測的方式,可分為傳播速度差法、多普勒法、波束偏移法、噪聲法及,相關法等不同類型的超聲波流量計。超聲波流量計是近十幾年來隨著集成電路技術迅速發展才開始應用的一種非接觸式儀表,適于測量不易接觸和觀察的流體以及大管徑流量。它與水位計聯動可進行敞開水流的流量測量。使用超聲波流量計不用在流體中安裝測量元件,故不會改變流體的流動狀態、不產生附加阻力,儀表的安裝及檢修均可不影響生產管線運行,因而是一種理想的節能型流量計。
目前的工業流量測量普遍存在著大管徑、大流量測量困難的問題,這是因為一般流量計隨著測量管徑的增大會引來制造和運輸困難、造價提高、能損加大、安裝不便等缺點,超聲波流量計可避免這些缺點。因為各類超聲波流量計均可管外安裝、非接觸測流,儀表造價基本上與被測管道口徑大小無關,而其他類型的流量計隨著口徑增加,造價大幅度增加。
超聲波流量計被認為是較好的大管徑流量測量儀表,多普勒法超聲波流量計可測雙相介質的流量,故可用于下水道及排污水等臟污流的測量。在發電廠中,用便攜式超聲波流量計測量水輪機進水量、汽輪機循環水量等大管徑流量,比過去的皮托管流速計方便得多。超聲波流量計也可用于氣體測量。管徑的適用范圍從2cm到5m,從幾米寬的明渠、暗渠到500m寬的河流都可適用。
5、文丘里管
文丘里管(見圖8)是新一代差壓式流量測量儀表,其基本測量原理與標準孔板相同,是以能量守恒定律-伯努利方程和流動連續性方程為基礎的流量測量方法。內文丘里管由一圓形測量管和置入測量管內并與測量管同軸的特型芯體所構成。特型芯體的徑向外表面具有與經典文丘里管內表面相似的幾何廓形,并與測量管內表面之間構成一個異徑環形過流縫隙。流體流經內文丘里管的節流過程同流體流經經典文丘里管、環形孔板的節流過程基本相似。內文丘里管的這種結構特點,使之在使用過程中不存在類似孔板節流件的銳緣磨蝕與積污問題,并能對節流前管內流體速度分布梯度及可能存在的各種非軸對稱速度分布進行有效的流動調整(整流),從而實現了高精確度與高穩定性的流量測量。

圖8 文丘里管
文丘里管按結構分為內藏式文丘里管和插入式文丘里管。在鋼鐵廠熱風爐的助燃風、冷風、煤氣計量(高爐煤氣、焦爐煤氣、轉爐煤氣)及熱電廠的鍋爐一次風、二次風大管徑、低流速管道計測量中收到了良好的效果。解決了現行工業企業中低壓、大管徑、低流速各類氣體流量的精確測量,是一種測量范圍寬、安裝方便的流體測量裝置。
文丘里管測量原理:當充滿管道的流體流經管道內的節流件時,將在文丘里管喉頸處形成局部收縮,因而流速增加,靜壓力降低,于是在文丘里管喉頸前后便產生了壓差。流體流量愈大,產生的壓差愈大,這樣可依據壓差來衡量流量的大小。這種測量方法是以流動連續性方程(質量守恒定律)和伯努利方程(能量守恒定律)為基礎的。

式中qm為質量流量(kg/s);qv為體積流量(m3/s);C為流出系數;ε為可膨脹性系數;d為節流件開孔直徑;β為直徑比,β=d/D;D為管道內徑;ρ1為被測流體密度,kg/m的;△P為差壓。
6、阿牛巴流量計
阿牛巴流量計(又稱笛形均速管流量計和托巴管流量計)屬于差壓式流量計。是采用皮托管測量原理測量擋體上游的動壓力與下游的靜壓力之間形成的壓差,從而達到測量流量的目的。測量管道直徑在DN20到DN12000之間。阿牛巴流量計主要用于工業過程中各種能源如液體、燃料氣、蒸汽和氣體的測量,具有較高的穩定性和重復性。阿牛巴流量計設計理論符合伯努利方程,并可用JG 640-90規程進行檢驗。
測量原理當流體流過探頭時,在其前部產生一個高壓分布區,高壓分布區的壓力略高于管道的靜壓。根據伯努利方程,流體流過探頭時速度加快,在探頭后部產生一個低壓分布區,低壓分布區的壓力略低于管道的靜壓。流體從探頭流過后在探頭后部產生部分真空,并在探頭的兩側出現旋渦。均速流量探頭的截面形狀、表面粗糙狀況和低壓取壓孔的位置是決定探頭性能的關鍵因素。低壓信號的穩定和準確對均速探頭的精度和性能起決定性作用。阿牛巴均速流量探頭能精確地檢測到由流體的平均速度所產生的平均差壓。阿牛巴均速流量探頭在高、低壓區有按一定準則排布的多對取壓孔,使準確測量平均流速成為可能。


圖9 阿牛巴
現在阿牛巴流量計所需要的參數被測量的介質,被測量介質的溫度,被測量介質的壓力,被測量介質的流量,被測量介質的黏度。
阿牛巴流量計輸出為差壓信號,與測量差壓的儀器儀表配套使用,可以準確地測量圓形管道、矩形管道中的多種液體、氣體和蒸汽(過熱蒸汽和飽和蒸汽)。被測管道的尺寸范圍為Ф20-3000mm。阿牛巴流量計在動力工業(包括核工業)、化學工業、石油化工和金屬冶煉工業等部門中得到成功使用,適用范圍如下。
a、氣體輸送和液體輸送。
b、能源研究,蒸汽鍋爐熱效率,水泵效率,氣體壓縮機效率和燃料消耗。
c、過程控制輸入輸出、比率/平衡;冷卻水或空氣蒸汽加熱。
d、化學工業中加料。
e、負載平衡泵、壓縮機、冷卻器、過濾器。
阿牛巴流量計與差壓流量計相比有如下優點。
a、準確度高,穩定性好
阿牛巴流量計的準確度為±1%,穩定性為±0.1%,它能夠保持長期輸出非常穩定的差壓信號,保證輸出差壓信號與管道流量的映射關系。這是因為在使用過程中的磨損、腐蝕以及粘附的油污灰塵等因素對阿牛巴流量計系數影響不大,但這些因素使孔板的流量系數增大,而且會增加到20%以上,由此產生的誤差將也達到20%以上。從中我們可以看出阿牛巴流量計的準確度是長期穩定的。
b、設計合理,安裝方便、經濟
阿牛巴流量計重量輕,安裝拆卸方便,無需起重工具,產品系列中有的可以在被測管道不斷流-不停車的情況下進行安裝或拆卸,可以節省可觀的安裝費用。例如在直徑200mm的管道上安裝流量計,阿牛巴流量計只有一條長150mm的焊縫,而孔板有2條共長1200mm長的焊縫。就工時來講,安裝一只阿牛巴流量計只需要1.5工時,而安裝一只孔板卻需12工時。
c、有利于管道布局
阿牛巴流量計不僅適用于圓形管道,也適用于矩形管道及埋設在地面以下任何深度的管道。阿牛巴流量計上下游直管段的長度要求比孔板低得多,當安裝在彎頭后面距離2倍管徑處,仍然可以得到穩定的、很高的準確度,這是阿牛巴流量計的獨特優點,給管道尤其是大直徑管道的布局設計帶來了很大的靈活性,節省了費用。
d、壓力損失小,能源損耗少
永久壓力損失是動力損耗,阿牛巴流量計的永久壓力損失僅占差壓的2%-15%,而一般孔板的永久損失卻要占差壓的40%-80%,隨著管徑的增大,阿牛巴流量計永久壓損可忽略不計。例如,在直徑1000mm的管道上使用阿牛巴流量計,一年的能量損耗只有幾百元,當使用孔板時,一年的能量損耗高達2萬余元,這對當今大力節約能源來說是很有意義的。
7、皮托管
皮托管,又名“空速管”、“風速管”,英文是Pitot Tube。皮托管是測量氣流總壓和靜壓以確定氣流速度的一種管狀裝置,由法國H.皮托發明而得名。嚴格地說,皮托管僅測量氣流總壓,又名總壓管;同時測量總壓、靜壓的才稱風速管,但習慣上多把風速管稱作皮托管。
①皮托管的構造
頭部為半球形,后為一雙層套管。測速時頭部對準來流,頭部中心處小孔(總壓孔)感受來流總壓P0:經內管傳送至壓力計。頭部后3-8D處的外套管壁上均勻地開有一排孔(靜壓孔),感受來流靜壓P,經外套管也傳至壓力計。對于不可壓縮流動,根據伯努利方程和能量方程可求出氣流馬赫數,進而再求速度。但在超聲速流動中,皮托管頭部出現離體激波,總壓孔感受的是波后總壓,來流靜壓也難以測準,因而皮托管不再適用。總壓孔有一定面積,它所感受的是駐點附近的平均壓強,略低于總壓,靜壓孔感受的靜壓也有一定誤差,其他如制造、安裝也會有誤差,故測算流速時應加一個修正系數ξ。ξ值一般在0.98-1.05范圍內,在已知速度之氣流中校正或經標準皮托管校正而確定。皮托管結構簡單,使用方便,用途很廣。如飛機頭部或機翼前緣常裝設皮托管,測量相對空氣的飛行速度,又稱空速管。
②皮托管的用途
皮托管除了用來測量飛機速度,同時還兼具其他多種功能。在科研、生產、教學、環境保護以及隧道、礦井通風、能源管理部門,常用皮托管測量通風管道、工業管道、爐窯煙道內的氣流速度,經過換算來確定流量,也可測量管道內的水流速度。用皮托管測速和確定流量,有可靠的理論根據,使用方便、準確,是一種經典的廣泛的測量方法。此外,它還可用來測量流體的壓力。
8、流量實際應用中的一些技巧
①流量累積
在實際應用當中經常需要知道氣體或液體的累積流量,流量累積就是在特定時間內,通過某一截面的液體流量的總和,這個很好理解。但是計算機控制系統和流量積算儀怎么樣實現這個功能呢?我們知道系統有個指標是采樣周期,就是說計算機從現場多久采回一個數值。一般系統軟件對這個數值是可以自己定義的,比如是500ms,那么,首先我們把瞬時流量Lt/h轉換成以t/s為單位的計量,然后使用積分算法來求出流量累積,積分時間設為500ms就可以了,也就是說每500ms把采集到的瞬時流量L累積起來。
②小信號切除
在實際工程應用中,由于生產條件的不同,比如在設備運行的初始階段,可能管道內有少量的水在流動,導致瞬時流量不為零,但是我們不需要記錄這些數據,那就需要在累積計算的時候自動除去這樣的數值,這就是小信號切除,比如流量大于某個設定值時,累積計算才開始進行,這個設定值就需要根據經驗和工藝來設定。大概的邏輯如:下當瞬時流量大于小流量a時,加法器的使能端有效,否則加法器不運算。
③累積清零
算法由于計算機存在溢出的問題,因此,這個累積值不能無限制地增加下去,因此我們在特定的時間內就需要把它清零,再重新累積,這樣我們就可以加入自動清零或者手動清零的功能來完善累積算法。自動清零可以以每天、每星期或者每月為周期,在邏輯控制上增加當前時間的判斷就可以了。
上面所述的這些功能現在全部集成與流量積算儀內,流量積算儀參數及功能可參閱 http://rjxysw.com/product/999.html。

圖10 智能流量積算儀
推薦閱讀
過程控制用流量儀表的要求
各行業流量計選型要求及流量測量特點
