讀者如果熟悉各個國際知名品牌的軸承知識會發現,不同品牌對壽命的計算方法在ISO標準方法之上有各自不同的修正。相似的情況對于最小負荷的計算也是一樣,各個廠家各有不同,但是基本原則沒有太大差異。
最小負荷的計算公式
首先,一個粗略的方法是可以使用一個估算系數粗略的進行估計。對于球軸承:P=0.01C;對于滾子軸承:P=0.02C;對于滿滾子軸承:P=0.04C,其中P為當量負荷(計算方法見軸承壽命計算部分),C為軸承額定動負荷。
如果需要進行詳細軸承最小負荷的計算,可以參照下面公式:
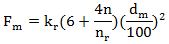
①深溝軸承最小負荷計算公式

②圓柱滾子軸承最小負荷計算公式

其中:Fm是軸承的最小負荷(單位kN);kr為最小負荷系數(SKF軸承型錄可查);v為潤滑油在工作溫度下的黏度(單位mm2/s);n為轉速(單位r/mm);dm為軸承平均直徑=0.5(d+D)(單位mm)
對于工程師而言,在進行軸承選型的時候,需要在校核軸承壽命的同時,也對軸承最小負荷進行校核計算。這樣就可以避免由于軸承最小負荷不足導致的軸承提早失效。經驗上,我們發現對于深溝球軸承而言往往計算出的數值會比較小,選型的時候可以適當保守,對這個數值適度增加。
影響軸承最小負荷的一些因素
從上面公式中可以看出,以下一些因素影響軸承最小負荷的大小
1、軸承的的轉速
軸承的工作轉速越高,所需要的最小負荷越大。因此在相同電機軸承的選擇中,對于高轉速的應用,需要校核最小負荷情況。
2、軸承的直徑
軸承直徑越大,所需要的最小負荷越高。也就是說越大的軸承,形成滾動所需要的最小負荷越高。
3、軸承的寬度
大家可以查找軸承型錄中的Kr參數,不難發現,軸承寬度越寬,Kr值越高,也就是軸承形成滾動所需要的最小負荷越大。
綜合考慮軸承直徑與寬度的影響,不難發現,軸承的負荷能力越高,所需要的最小負荷也相應的最大。所以,總體上,圓柱滾子軸承所需要的最小負荷大于深溝球軸承所需要的最小負荷。
4、軸承使用潤滑在工作溫度下的基礎油粘度
軸承潤滑劑在軸承工作溫度下的基礎油黏度越大,形成滾動所需要的最小負荷也會越大。
最小負荷不足的情況還會發生在另一種情況下,就是當溫度過低的時候,軸承內部潤滑脂黏度過大,導致軸承形成滾動所需要的最小負荷變大,此時電機運轉的時候,軸承就會出現最小負荷不足的情況。
面對這種情況,就需要適當降低潤滑脂的黏度。或者在電機溫度過低的時候(尤其是冷態啟動的時候)通過一些輔助加熱的方法,升高軸承室內潤滑脂的溫度,降低其黏度, 從而使電機軸承的滾動易于啟動。
