一、標準熱電偶分類
標準熱電偶分為一等標準鉑銠10-鉑熱電偶和二等標準鉑銠10-鉑熱電偶兩種。
二、標準熱電偶用途
一等標準鉑銠10-鉑熱電偶用于檢定二等標準鉑銠10-鉑熱電偶;二等標準鉑銠10-鉑熱電偶用于檢定工業用熱電偶以及精密測量300-1300℃溫度范圍內的溫度。
三、標準熱電偶結構
標準熱電偶正極為鉑銠10絲,負極為鉑絲;標準熱電偶測量端上面套有長度為550mm的雙孔高純度高鋁瓷管;標準熱電偶參考端正極套紅色或粉色塑料管,負極套白色或藍色塑料管;整支標準熱電偶置于玻璃外護管中保存。
四、主要技術指標
測量范圍 300-1300℃
測量誤差 一等標準鉑銠10-鉑熱電偶<0.5℃;二等標準鉑銠10-鉑熱電偶<1℃
偶絲直徑 Φ0.5mm
長度 1000mm
標準熱電偶電勢值要求:
1、標準熱電偶測量端在銅點(1084.62℃)、鋁點(660.323℃)或銻點(630.63℃)及鋅點(419.527℃),參考端溫度為0℃時,其熱電勢應滿足以下要求:
E(tCu)=(10.575±0.015)mV
E(tAl)=5.860+0.37[E(tCu)-10.575]±0.005mV
E(tAsb)=5.553+0.37[E(tCu)-10.575] ±0.005mV
E(tZn)=3.447+0.18[E(tCu)-10.575] ±0.005 mV
2、二等標準鉑銠10-鉑熱電偶穩定性由其銅點的電動勢變化(兩次熱電勢差值)決定,新制造的二等標準熱電偶不超過5μV,使用中的二等標準熱電偶銅點熱電勢的年變化量不超過10μV。
3、一等標準鉑銠10-鉑熱電偶穩定性由其銅點的電動勢變化(兩次熱電勢差值)決定,不超過3μV;銅點熱電勢的年變化量不超過5μV。
五、標準熱電偶型號命名
一等標準鉑銠10-鉑熱電偶型號:WRPB-1
二等標準鉑銠10-鉑熱電偶型號:WRPB-2
六、標準熱電偶使用注意事項
1、標準熱電偶使用和保存中,瓷管和塑料管不得隨意取下,應力求保持標準熱電偶平直,不可嚴重彎曲。在運輸、保存中,應避免標準熱電偶受到劇烈的機械震動。
2、標準熱電偶在出廠時外包裝盒配置內500mm石英玻璃管和1000mm普通玻璃管各一支。保存或運輸時將標準熱電放入普通玻璃管內,防止標準熱電偶變形;測量時將標準熱電偶從普通玻璃管內取出放入石英玻璃管中(把石英玻璃管作為保護管),防止標準熱電偶絲材受到雜質污染而導致精確度降低。
3、標準熱電偶應按《標準鉑銠10-鉑熱電偶檢定規程 JJG75-1995》規定,定期進行監督性檢查和周期檢定。
4、標準熱電偶出廠所附計量檢定證書請妥善保存,再次檢定時需帶上原計量檢定證書。
七、標準熱電偶使用方法
1、標準熱電偶的編號與計量檢定證書產品編號必須一致,否則不能作為標準熱電偶使用。
2、使用前將標準熱電偶小心從玻璃管保護管內取出放入石英玻璃管中,即可測量。使用結束后應將標準熱電偶放入普通玻璃管內保存。
3、使用標準鉑銠10-鉑熱電偶檢定較低等級的標準熱電偶時,標準熱電偶和被測熱電偶的參考端應處于0℃。標準熱電偶與被測熱電偶參考端的溫差<0.1℃。熱電偶參考端和銅導線的末端可插在盛有水銀或變壓器油的玻璃管中(玻璃管外徑約為Φ7mm,插入深度為100-120mm;各個玻璃管內水銀或變壓器油應保持相同高度,液面高度約為10mm)。具體方法步驟應按照《標準鉑銠10-鉑熱電偶檢定規程 JJG75-1995》進行。
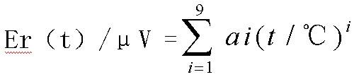
4、使用標準熱電偶精密測量溫度時,溫度t由下列公式確定:

公式1:
公式2:E(t)=Er(t)+△E(t)
公式3:△E(t)μV=a+bt+ct2
說明:
(1)公式1中Er(t)為熱電偶的參考函數,其數值已編成表,在《標準熱電偶使用說明書附錄》中查得。
(2)公式2中E(t)為熱電偶在某一溫度下測得的熱電勢值。
(3)公式3中△E(t)為熱電偶偏差函數;a、b、c為三個常數,由標準熱電偶計量檢定證書給出。
八、E(t)- t對照表編制
計算溫度時,應先根據熱電偶大致使用溫度段,編制相應的E(t)- t對照表,然后根據熱電偶測得的熱電勢值按上述編制的對照表,線性內插即可求得溫度t。對照表的溫度間隔由使用者自定義,如果精度要求不太高,可編制整百度間隔的對照表。
舉例:產品編號2014-025#標準鉑銠10-鉑熱電偶,證書上給出常數值:
a=-2.2035
b=1.0116×10-2
c=-2.9569×10-6
標準熱電偶使用在800-900℃范圍內,溫度間隔為10℃,編制相應的E(t)-t對照表:
1、800℃時標準熱電偶熱電勢值計算
E(800℃)/μV =Er(800℃)+(-2.2035)+(1.0116×10-2×800)+(-2.9569×10-6×8002)=7346.1
2、810℃時標準熱電偶熱電勢值計算
E(810℃)/μV =Er(810℃)+(-2.2035)+(1.0116×10-2×810)+(-2.9569×10-6×8102)=7455.0
3、820℃時標準熱電偶熱電勢值計算
E(820℃)/μV =Er(820℃)+(-2.2035)+(1.0116×10-2×820)+(-2.9569×10-6×8202)=7564.3
以此類推編制出800-900℃范圍的E(t)-t對照表
t/℃
E/μV
800
7346.1
810
7455.0
820
7564.3
830
7673.9
840
7783.9
850
7894.2
860
8004.9
870
8116.0
880
8227.4
890
8339.2
900
8451.3
現測得某溫度點熱電勢值為8000.0μV,該點的溫度t介于850-860℃之間,則

