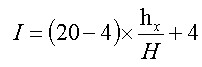
PH=hx×ρ+Px ;PL=Px ;則P=PH+PL=(hx×ρ+Px)-Px=hx×ρ ,其量程△P=(hx×ρ+Px),則差壓與電流的對應關系如下:
差壓變送器應安裝在高于最高液位的位置上,高壓側接液相導壓管,既可使變送器處于常溫的工作環境,又可使低溫液體充分汽化。為方便調整儀表零位及更換儀表,在差壓變送器高、低壓側之間要安裝一只平衡閥。差壓變送器裝好應調整零位,接著打開氣相導壓閥PL,在工作壓力下再次調整零位。然后打開液相導壓閥PH,稍等片刻使低溫液體汽化充分,再關閉平衡閥使變送器投入運行。

使用中檢查或調零時,先打開平衡閥,使差壓變送器高、低壓側壓力平衡,然后,關閉液相導壓閥,即可檢查或調整零位。
如果被測液體的汽化氣體與空氣接觸會有危險時,在維修中應采取一定的安全措施。
差壓變送器安裝位置受限時,應該怎樣測量低溫液體的液位?
用差壓變送器測量低沸點液體的液位時,在一般常溫、干燥氣相情況下,從容器引出的導壓管一根為液相管一根為氣相管。但由于低沸點被測液體在導壓管中都會有“汽化”現象,由于“汽化”的影響會造成測量值的失真。為此,對導壓管的配制有一定要求,如加裝氣相容器,對差壓變送器安裝位置有一定要求等,這樣增加了工作量和施工難度;有的現場由于環境條件所限,而無法滿足差壓變送器的安裝位置要求時,怎么辦呢?
現介紹一種簡便的安裝方法,即用一根管子把氣、液管相連通起來,如圖所示。從圖中可見,被測液體“汽化”生成的氣體沿著管子上升至容器頂部,而液體則沿管流下。該管選擇一根Ф14×2的即可,對于腐蝕介質選擇不銹鋼管即可。增加這樣一根管簡單易行,但效果很好。此方法對于用差壓法測量低沸點液體的液位都是可行的,最重要的是其對差壓變送器的安裝位置沒有了嚴格要求,方便了現場施工。
