當繼電器返回系數不合要求時怎么辦?
所謂返回系數Kf是反映吸力特性與反力特性配合程度的一個參數,也即表征繼電器動作值與釋放值的差異性。不同用途的繼電器,往往要求不同的返回系數,當繼電器的返回系數不能滿足使用要求時,可采取相應的措施來改進返回系數。下圖1為減少Kf的電路,而圖2則是增大Kf的電路。圖中的R取值應適當,也就是說串入R后,必須使加至繼電器線圈的電壓仍要大于其動作電壓或保持電壓。
繼電器觸點吸合、釋放時間不符要求時,怎樣改善?
有人問:“繼電器有響應時間嗎?”在普通繼電器中不叫響應時間,而是叫吸合、釋放時間,或稱為動作時間。普通繼電器由于結構特點,所以吸合和釋放時間是不相同的,它取決于磁通變化的速度、反作用力的大小、銜鐵行程等。普通繼電器動作時間一般為0.05-0.4s。
對于特定的繼電器,其吸合、釋放時間是有規定的,并且是有一定范圍的,因此對于在用的繼電器,當其吸合、釋放時間不能滿足使用要求時,可以改變繼電器線圈回路的時間常數來解決。但這樣的改變是有限制的,只能作為一種應急手段。
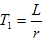
我們知道繼電器線圈的時間常數T等于線圈電感L與電阻r之比。如果在繼電器線圈回路里串入一個電阻Rf,則
就小于
。需加速吸合時,可在繼電器線圈回路中串入一只電阻Rf,并將電源電壓適當提高,以保證線圈的吸合電流維持不變,則可達到加速吸合的目的。如果在R兩端再并聯一只電容C,則吸合時間更短,如圖3所示。電容C兩端電壓不能突變可視為短路,這樣就將比繼電器線圈額定工作電壓高的電源電壓加到線圈上,從而加大了線圈中流過的電流,使繼電器迅速吸合。電源穩定之后電容C不再起作用,而電阻Rf起限流作用。
在繼電器線圈兩端并聯RC,如圖4所示,當接通電路后,電流穩定時RC電路不起作用,斷開電路時,繼電器線圈由于自感而產生感應電動勢,經RC電路放電,使線圈中電流衰減放慢,從而延長了繼電器銜鐵的釋放時間,起到延時斷開的作用。
如果在繼電器線圈兩端反向并聯一只二極管,也可達到延時的目的,只需把圖4的RC元件更換為一只二極管即可,如圖中虛線所示。當繼電器線圈斷電后二極管導通等于給鐵芯增加了一個短路線圈,感應電動勢所產生的電流正好從二極管的正向流過,電阻很小,因而使繼電器的釋放時間延長了,二極管在正常工作時,其反向電阻很大,基本無電流流過,故電能的消耗極小。圖4電路還具有消火花的作用,詳見本站“怎樣消除繼電器觸點動作時產生的火花?”的分析。
