PID控制器是目前過程工業中應用最廣泛的一類控制器,因此,對PID控制器參數之間的相互作用和影響控制的基本理解非常重要。P、I、D三個字母分別代表比例(proportional)作用、積分(integral)作用和微分(derivative)作用三類控制單元,是這三個英文單詞的首字母。
所謂P,即比例作用,考慮過程變量偏離設定值的當前偏差。當偏差變化時,控制器輸出也會立即按比例變化。作為最基本的控制作用,瞬態反應快,比例增益變大會減小余差,但會使系統穩定性下降。在實際應用中,比例作用一般有兩種表示方法:比例增益Kc或比例度(也稱比例帶)PB。本文所稱比例作用都是指比例增益Kc。
所謂I,即積分作用,考慮過程變量偏離設定值的過去偏差的累積。積分作用是對偏差隨時間的積分或連續求和,只要還有偏差,積分作用就按部就班地逐漸改變控制作用直到余差消失,所以積分的效果相對比較緩慢。一般使用TI(積分時間)來表示積分作用,在不同的控制系統中其時間單位會有不同,一般單位為秒(s)或分鐘(min)。本所用積分時間單位是秒(s)。
所謂D,即微分作用,考慮偏差在瞬間變化的速度。微分作用計算過程變量的變化率。無論動態事件是剛剛開始還是已經發生了一段時間,快速變化的偏差都會產生一個大的微分作用。微分作用是一種“預測”型的控制,它測出偏差的瞬時變化率,作為一個有效早期修正信號,在超調量出現前就會產生控制作用。如果系統的偏差變化緩慢或是常數,偏差的微分就很小或者為零,這時微分作用也很小或者為零。微分作用的特點是:盡管過程變量比設定值低,但其快速上揚的趨勢需要及早加以抑制,否則等到過程變量超過設定值再做反應就晚了。但如果作為基本控制使用,微分作用只看趨勢不看具體數值所在,最理想的情況是能夠把實際值穩定下來,但無法保證穩定在設定值,所以微分作用不能單獨使用。使用TD(微分時間)來表示微分作用,在不同的控制系統中其時間單位會有不同,一般單位為秒(s)或分鐘(min)。本文中所用微分時間單位是秒(s)。
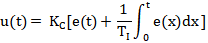
PID控制是對一類控制形式的統稱,包括比例作用、積分作用、微分作用的多種組合。下面公式是標準PID控制算法的微積分方程。
公式中u(t)為PID控制器輸出;e(t)為PID控制器輸入,偏差e=SP-PV;Kc為PID控制器的比例增益;TI為PID控制器的積分時間,s;TD為PID控制器的微分時間,s;
為偏差的積分;
為偏差的微分
這些參數的意義后面不再重復說明。下面昌暉儀表簡單分析一下各種控制方式。
1、比例控制
比例控制是一種最簡單的控制方式,比例控制使控制器的輸出與輸入偏差成比例關系,簡稱比例控制器。其控制規律的方程為:

式中,ub為偏置或重置。
當偏差e為零時,控制器輸出的值為u(t)=ub 。偏置ub通常在控制器投用時進行初始化等于當前的控制器輸出,避免偏差e為零時控制器輸出歸零。有時可以手動調整偏置,使余差為零。控制器輸出與過程變量和設定值的偏差成比例。使用與對象特性匹配的控制器參數,可以使過程變量趨于穩定,達到平衡狀態。
純比例控制器偏置作為控制器設計的一部分在控制器投用時被賦初值,并且在控制器模式為自動時保持固定。這種偏置也被稱為零值。控制器輸出實際上是對偏置的增量。因此,當偏差為零時,并不意味著控制器沒有輸出,此時控制器輸出等于控制器偏置。
比例控制作用的大小除了與偏差e有關外,主要取決于比例增益Kc的大小。Kc越大,比例控制作用越強,系統響應速度越快,系統的超調也隨之增加。對大多數系統來說,Kc太大時,會引起自激振蕩,閉環系統將趨于不穩定。如果考慮過程動態,通常高比例增益時閉環系統不穩定。在實際使用中,最優比例增益是由過程動態特性決定的,與過程變量和控制器輸出的量程相關。
比例控制對系統的影響主要反映在系統的穩態偏差和穩定性上。
①優點:控制及時,只要偏差一出現,就能即刻產生與之成比例的調節作用。比例控制結構最簡單、應用最早,也是最重要的PID控制作用。
②缺點:單純采用比例控制,系統會存在穩態偏差。因為比例控制的輸出正比于偏差值,比例增益越小,過渡過程越平穩,但余差越大;比例增益越大,余差越小,但過渡過程曲線振蕩越劇烈,當比例增益過大時,甚至可能出現發散振蕩的情況。因此,對于擾動較大、純滯后時間也較大的系統,若采用單獨的比例控制,難以同時兼顧動態和穩態的性能。
圖1顯示不同的比例增益對應的系統階躍閉環響應曲線。可見:隨著比例增益的增加,系統余差逐漸減小,但穩定性逐漸下降。響應曲線從過阻尼響應過渡到欠阻尼衰減振蕩,甚至發散振蕩。

圖1 純比例控制比例增益不同時的設定值階躍響應曲線
注意:不同控制系統中比例的實際含義并不相同,有些使用Kc(比例增益),而有些則使用PB(比例度或比例帶),二者之間是反比關系,即:PB=100/Kc。所以Kc和PB的作用相反,在實際操作中應多加注意,避免錯誤設置。
2、積分控制
積分控制的主要作用是確保過程變量在穩定狀態下與設定值一致。比例控制在穩態下通常存在偏差,但在積分作用下無論偏差有多小,都會導致控制器輸出的持續變化。具有積分作用的控制稱為積分控制,即I控制,其控制微積分方程為:
如圖2所示,積分作用相當于斜率發生器,如果控制器輸入偏差不等于0,控制器的輸出將按照一定的速度一直朝一個方向累加下去。

圖2 積分作用示意圖
一個控制系統如果進入穩態后存在穩態偏差,則稱這個控制系統是有差系統。為了消除穩態偏差,在控制器中必須引入積分作用。積分作用是對偏差的積分,積分時間越長,積分作用越弱,當積分時間T非常大時,積分的作用近似等于0。反之,積分時間越短,積分作用越顯著,消除穩態余差的速度越快,同時系統越容易振蕩。
采用積分控制的主要目的就是使系統無穩態偏差,但是積分控制使系統穩定性變差。積分控制通常結合比例控制器構成比例積分控制器,以解決純比例控制有余差的問題。
3、比例積分控制
比例積分控制在比例控制基礎上增加了積分環節,其作用就是將純比例作用和純積分作用進行疊加。添加積分作用的基本目的:在系統經受擾動后,使過程變量返回設定值,即消除余差。
假設系統處于穩態,控制輸出恒定(u0)、偏差恒定(e0)。控制輸出為:
只要e0≠0,控制輸出u0就會隨著時間的推移持續累積,這顯然與控制輸出u0是常數的假設相矛盾。所以具有積分作用的控制器總是給出零穩態偏差。

圖3 自動重置原理圖
積分作用最開始是作為一個自動重置比例控制器的偏置項ub的環節增加到比例控制器里的。圖3展示了帶有自動重置的比例控制器。自動重置是通過將控制器輸出的一個濾波值作為自動設置的偏置反饋到控制器輸出的求和點來完成的。這實際上是積分作用的早期發明,也被稱為“自動重置”,因為它取代了比例控制器中用來獲得正確穩態值的手動重置。神奇的是增加自動重置的比例控制器理論上正好等效于式所示的比例積分控制。自動重置的微積分方程如式所示:
比例積分控制可以使系統在進入穩態后無穩態偏差,用來改善系統的穩態性能。但需要注意的是積分作用會惡化系統動態性能,降低系統穩定性。
在控制工程實踐中,單純增大比例增益的方法在減小余差的同時會使系統的超調量增大,破壞系統穩定性,而積分環節的引入可以與純比例控制合作來消除上述副作用。現場絕大部分的控制回路都采用比例積分控制。如圖4所示,純比例控制有余差,在比例控制基礎上增加積分環節可以消除余差,但如果積分作用太強則系統動態性能變差,容易振蕩。

圖4 純比例控制和比例積分控制階躍響應曲線
4、微分控制
另一種改善比例控制性能的方法是利用未來偏差信息e(t+TD)代替當前偏差e(t)提前調節比例控制動作。微分控制簡稱為D,微分作用的目的是提高閉環的穩定性。微分作用機理可以直觀地描述為:由于過程的動態性,控制器輸出的變化要在過程變量中反映出來需要一段時間。因此,控制系統對偏差的校正將會滯后。如圖5所示,具有比例和微分作用的控制器的動作可以解釋為控制與預測的過程變量成正比,預測是通過偏差曲線的切線外推偏差來實現的。最終控制器輸出調節方式與原始比例控制器相同。然而,比例控制可以基于這種修改后的配置預測未來的偏差提前實現。比例微分控制器的基本結構是:
因此,控制輸出與之后TD時刻的偏差的預測成正比,其中的預測是通過線性趨勢外推法獲得的。
微分控制作用:過程變量的變化速率能反映當時的被控對象的輸入量與輸出量之間的不平衡狀態,微分控制就是按照偏差的變化趨勢進行控制。微分控制具有某種程度的預見性,屬于超前校正。單獨使用微分控制器實際上是不能工作的,只能構成比例微分(PD)、比例積分微分(PID)控制器來使用。

圖5 比例微分控制的預測功能
5、PID控制
將比例、積分、微分三種控制作用線性組合在一起的控制器即稱為比例積分微分(PID)控制器,理想形式PID控制的微積分方程見式。
相比于比例積分控制,增加微分作用有利于加快系統的響應速度,使系統的超調量減小,穩定性增加,同時增大比例作用可以進一步加快系統的響應速度,使系統更快速。
如圖6所示,PID控制器代表了對偏差的歷史、現在和未來的組合處理機制。在時間上,比例項取決于偏差的瞬時值,積分部分基于截止時間的偏差積分(陰影部分),微分通過觀察偏差的變化率來估計偏差隨時間的增長或衰減。
PID控制器結合三種控制作用的不同特點,取長補短,因而控制效果更為理想。比例作用控制器輸出響應快,只要選擇好比例增益就會有利于系統的穩定。積分作用能夠消除余差,但會增加超調量和延長過渡時間。微分作用可以減小超調量和縮短過渡時間,使用微分后閉環系統使用更強的比例增益也不會振蕩。因此,將比例、積分、微分三種作用相互結合起來,根據對象的特性,恰當選擇控制器參數,就會獲得較好的控制效果。PID參數的整定是一個綜合的、各參數互相影響的過程,實際整定過程中使用科學的定量化整定方法非常重要。
對控制系統的要求可能有許多,如設定值響應,對測量噪聲和過程變化的魯棒性,以及抗擾能力。控制系統的設計還涉及過程動態、執行器飽和及干擾特性等方面。非常神奇的是一個簡單的PID控制器可以工作得如此好,一般經驗觀察表明,只要對控制性能的要求不太高,大多數工業過程都可以用PID控制得很好。比例積分控制適用于所有自衡過程和積分過程,其動態本質上是一階的。如果被控對象特性類似于一階系統,或者雖然被控對象特性復雜,但是如果該過程的設計使其操作不需要嚴格控制,則比例積分控制是充分的。即使過程有高階動態,它需要的是一個積分動作,以提供零穩態偏差和適當的瞬態響應的比例動作。具有二階動態的過程如果使用PID控制則可以獲得最優的閉環性能。

圖6 PID控制器的作用
相關閱讀
◆PID控制中P、I、D參數的作用是什么
◆PID控制器比例、積分、微分控制規律優缺點及適用場合
